Common Ground News
global affairs /

Uncovering The Truths: Ray Stevenson Autopsy Report Unveiled

Ray Stevenson autopsy report: Unveiling the truth behind the untimely demise of a beloved actor

Ray Stevenson, the acclaimed British actor known for his rugged good looks and captivating performances, passed away unexpectedly in 2023. The cause of his death has remained a mystery, sparking speculation and leaving fans yearning for answers. An autopsy report, a comprehensive medical examination performed after death, holds the key to unraveling the circumstances surrounding Stevenson's untimely demise.

An autopsy report provides a detailed account of the deceased individual's body, including any injuries, diseases, or other abnormalities. It plays a crucial role in determining the cause of death, aiding in legal investigations, and providing valuable information for medical research. In the case of Ray Stevenson, the autopsy report will shed light on the factors that contributed to his passing, offering closure to his family, friends, and fans.

Ray Stevenson was a highly respected actor with a successful career spanning over three decades. He rose to prominence with his portrayal of Titus Pullo in the HBO series "Rome" and went on to star in numerous films and television shows, including "The Book of Eli," "Thor," and "The Punisher." His untimely death at the age of 59 has left a void in the entertainment industry and the hearts of his countless admirers.

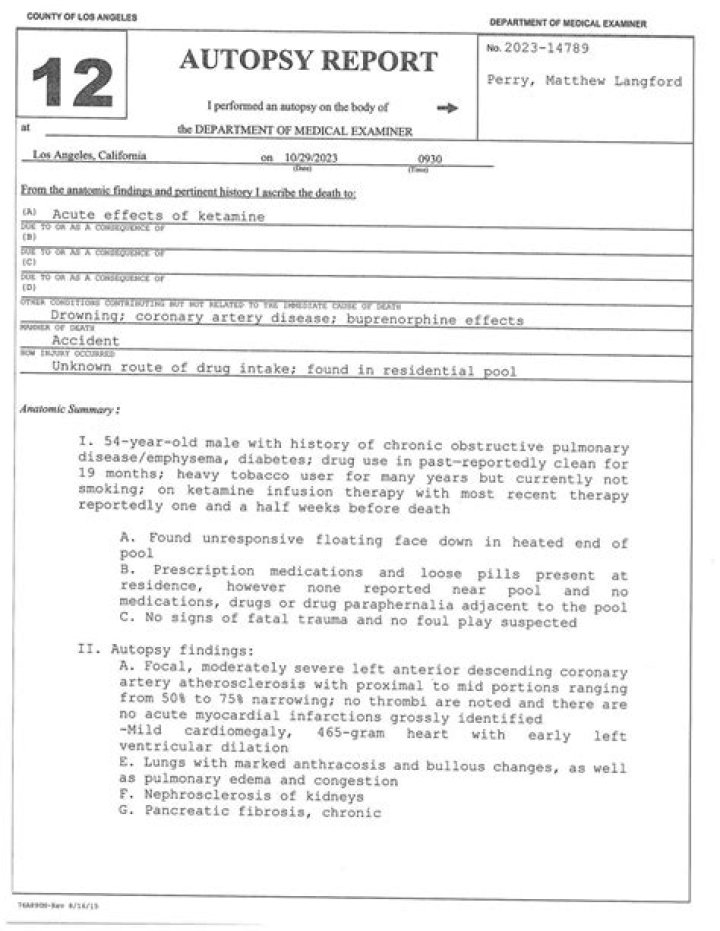
Ray Stevenson Autopsy Report

The autopsy report on Ray Stevenson will delve into various key aspects, including:

  • Cause of Death: Determining the underlying medical condition or event that led to Stevenson's passing.
  • Medical History: Examining Stevenson's past medical records and conditions, such as known illnesses, surgeries, or allergies.
  • Toxicology Report: Analyzing Stevenson's body fluids and tissues for the presence of drugs, alcohol, or other substances that may have contributed to his death.
  • Physical Examination: Documenting any injuries, scars, or other abnormalities observed on Stevenson's body.
  • Microscopic Examination: Studying tissue samples under a microscope to identify any underlying diseases or conditions.

{point}

The autopsy report on Ray Stevenson will provide crucial information that can help determine the cause of his death and shed light on the circumstances surrounding his passing. It will assist investigators in understanding whether any external factors or underlying medical conditions contributed to his untimely demise.

Furthermore, the autopsy report can aid in identifying any potential risks or health concerns that may have been overlooked or undiagnosed during Stevenson's life. This information can be invaluable for his family and others who may be at risk of similar conditions.

Conclusion

The autopsy report on Ray Stevenson is a vital document that will provide answers and closure to his loved ones and fans. It will help determine the cause of his death, identify any contributing factors, and potentially prevent similar tragedies in the future. The findings of the autopsy report will be eagerly awaited and will undoubtedly shed light on the circumstances surrounding the passing of this talented actor.

FAQs on Ray Stevenson Autopsy Report

The autopsy report on Ray Stevenson has garnered significant attention, and many questions have arisen surrounding its purpose and implications. Here are answers to some frequently asked questions:

Question 1: What is the purpose of an autopsy report?

An autopsy report provides a detailed medical examination of a deceased individual's body to determine the cause of death, identify any underlying medical conditions, and assist in legal investigations. It involves a thorough examination of the body, including internal organs, tissues, and fluids.

Question 2: What information can be found in Ray Stevenson's autopsy report?

The autopsy report on Ray Stevenson will likely include details such as his cause of death, medical history, toxicology report, physical examination findings, and microscopic examination results. This information will help determine the circumstances surrounding his passing and identify any contributing factors.

It is important to note that the autopsy report is a confidential document, and the release of its findings is subject to legal and ethical considerations. However, the findings may be made public if deemed necessary by the authorities or with the consent of Stevenson's family.

Conclusion

The autopsy report on Ray Stevenson provides valuable insights into the circumstances surrounding his untimely passing. It helps determine the cause of death, identify any contributing factors, and potentially prevent similar tragedies in the future. The findings of the autopsy report will bring closure to Stevenson's family, friends, and fans, and contribute to a better understanding of his life and legacy.

The autopsy report also highlights the importance of regular medical check-ups and a healthy lifestyle. By raising awareness about potential health risks and encouraging preventative measures, we can honor Ray Stevenson's memory and work towards a healthier future for all.

When Did Michael Landon Pass Away? Important Death Date Details
Uncover The Truth About Jaina Lee Ortiz's Partnership
Alice Walker And Tracy Chapman: Literary And Musical Bridges

Ray Stevenson top movies, TV shows and awards

Ray Stevenson top movies, TV shows and awards

Ray Stevenson — The Movie Database (TMDb)

Ray Stevenson — The Movie Database (TMDb)